El sistema de ecuaciones: 2x+3y=5, -4x-6y=-10 tiene?
A. Una solución
B. No tiene solución
C. Infinitas soluciones
D. Exactamente dos soluciones
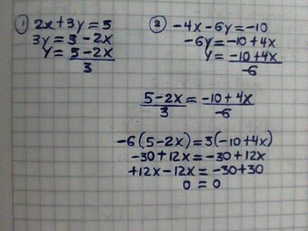
Hola, yo resolví el sistema por el método de igualación, pero al despejar x me da 0=0, ( ver imagen), ¿entonces qué quiere decir esto? Que el sistema no tiene solución, ¿o qué x vale 0 y en ese caso y= 5/3 entonces el sistema tiene 1 solución?
Me gustaría una explicación de esto, porque no se si el sistema tiene una solución o no tiene solución y como es un sistema con infinitas soluciones. Gracias.

2 Respuestas
Respuesta de csarxex fmv
1
Respuesta de Valero Angel Serrano Mercadal
1