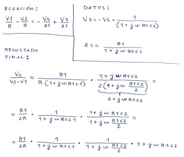
Despejar variable en ecuación
En la ecuación se substituye V3 y Z1 que sabemos lo que son.
Una vez sustituido hay que aislar VS/(V2-V1), pero
matemáticamente no se como se llega al resultado final que se que esta
correcto, pero no se sacarlo.
Agradecería que me dijerais paso a paso y de la forma mas
fácil posible como se llega despejando matemáticamente a al resultado final.
Los datos deberían estar todos correctos esta vez.
Gracias

1 respuesta
Respuesta de Valero Angel Serrano Mercadal
1

