Me puedes ayudar con este taller de calcualacion de limites

Respuesta
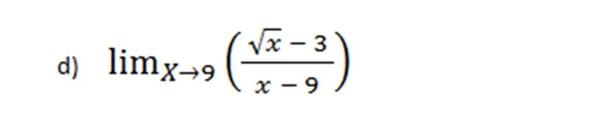
1

Se basa en el producto notable

$$\begin{align}&a^2-b^2 = (a+b)(a-b)\\ &\\ &\text{Si ponemos }\sqrt a\; y\; \sqrt b \text{ en lugar de a y b tenemos}\\ &\\ &(\sqrt a)^2-(\sqrt b)^2 = (\sqrt a +\sqrt b)(\sqrt a-\sqrt b)\\ &\\ &a-b =(\sqrt a +\sqrt b)(\sqrt a-\sqrt b)\\ &\\ &\text{Con esta fórmula el límite quedará}\\ &\\ &\\ &\lim_{x\to 9}\frac{\sqrt x-3}{x-9}=\lim_{x\to 9} \frac{\sqrt x-3}{(\sqrt x+3)(\sqrt x-3)}=\\ &\\ &\\ &\lim_{x\to 9}\frac{1}{\sqrt x+3}= \frac{1}{\sqrt 9+3}=\frac 16\\ & \end{align}$$

Y eso es todo.

Añade tu respuesta

Haz clic para o

Más respuestas relacionadas