Ayuda... Ecuaciones diferenciales por separación de variables.

alguien puede por favor ayudarme a resolver estas tres ecuaciones diferenciales usando el método de separación de variables, me explican por favor el desarrollo para que le entienda...gracias!


1 respuesta

Respuesta
1

1) Consiste en llevar a un lado el dr multiplicado por una función que solo dependa de r y al otro lado el dt multiplicado por una función que solo depende de t

f(r)·dr = g(t)·dt

Y entonces se hace la integral en los dos lados, añadiendo la constante de integración en uno de ellos. Y finalmente mediante la condición que nos dan se puede calcular la constante.

$$\begin{align}&\frac{2r-1}{t}dr+ \frac{r-2r^2}{t^2-1}dt=0,\quad\quad r(2)=4\\ &\\ &\\ &\frac{2r-1}{t}dr= -\frac{r-2r^2}{t^2-1}dt\\ &\\ &\\ &\\ &\frac{2r-1}{r-2r^2}dr=-\frac{t}{t^2-1}dt\\ &\\ &\\ &\\ &\frac{2r-1}{r(1-2r)}dr=-\frac{t}{t^2-1}dt\\ &\\ &-\frac {dr}r= -\frac{t}{t^2-1}\\ &\\ &\frac {dr}r= \frac{t}{t^2-1}\\ &\\ &\\ &ln\,r=\frac 12ln(t^2-1)+ln\,C\\ &\\ &ln\, r = ln (C \sqrt{t^2-1})\\ &\\ &r=C \sqrt{t^2-1}\\ &\\ &\\ &r(2)=C \sqrt{2^2-1}=C \sqrt 3=4\\ &\\ &C= \frac{4}{\sqrt 3}=\frac{4 \sqrt 3}{3}\\ &\\ &\\ &r=\frac{4 \sqrt 3}{3}\sqrt{t^2-1}\\ &\\ &\end{align}$$

Y eso es todo. En cada pregunta debe ir un solo ejercicio si son de categoría. Manda los otros dos en sendas preguntas.

Hola Valero...gracias por su ayuda!

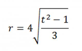
Estoy preparándome para una prueba, y la respuesta que da el libro sobre este ejercicio es:


Gracias profe.! ya subí por separado los otros dos ejercicios.

Es lo mismo.

Si tomas la que te dan de respuesta:

$$\begin{align}&r =4 \sqrt \frac{t^2-1}{3}= 4 \frac{\sqrt{t^2-1}}{\sqrt 3}=\\ &\\ &\frac{4}{\sqrt 3}\sqrt{t^2-1}=\end{align}$$

Y yo no se si a ti te lo dirían, pero a mi me dieron mucho mal he hice cantidad de ejercicios de racionalizar los denominadores

$$\begin{align}&\frac{4}{\sqrt 3}\frac{\sqrt 3}{\sqrt 3}\sqrt{t^2-1}=\\ &\\ &=\frac{4 \sqrt 3}{3}\sqrt{t^2-1}\end{align}$$

Luego es la misma respuesta, solo es cuestión de gustos como ponerla.

Muchas gracias profe. Valero, me sirvió muchísimo su explicación...de hecho le entiendo mejor a Usted que a mi profesor de Ecuaciones Diferenciales...gracias Dios lo siga bendiciendo y dando sabiduría!...gracias!

Añade tu respuesta

Haz clic para o