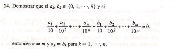
Análisis... Ejercicios bartle 10

1 respuesta

Respuesta
1

El problema no está bien, tendrían que haber dicho que an y bm son distintos de cero. Si no yo puedo añadir en un lado todos los ai o en el otro los bi iguales a cero que se me ocurra y n sería distinto de m.

Lo demostraremos por inducción

Sea n=1

a1/10 = b1/10 + b2/10^2 +...+ bm/10^m

Restamos b1/10 en ambos lados

(a1-b1)/10 = b2/10^2 +...+ bm/10^m

Entre todos los sumandos del lado derecho no llegan a sumar 1/10. Como máximo pueden sumar 9/100, 99/1000, 999/10000

Como el miembro izquierdo solo puede valer 0, 1/10, 2/10, ... 9/10 tendrá que valer 0,

luego a1=b1 y b2=b3=... = bm= 0

luego el último b no nulo es b1

luego se cumple a1=b1 y m=1

Supongamos se cumple para n elementos, veamos con n+1

$$\begin{align}&\frac{a_1}{10}+···+\frac{a_n}{10^n}+\frac{a_{n+1}}{10^{n+1}} = \frac{b_1}{10}+···+\frac{b_m}{10^m}\\ &\\ &\text{Pasamos }\frac{b_{n+1}}{10^{n+1}}\text{ al otro lado}\\ &\\ &\frac{a_1}{10}+···+\frac{a_n}{10^n}=\frac{b_1}{10}+···+ \frac{b_{n+1}-a_{n+1}}{10^{n+1}}+\frac{b_m}{10^m}\end{align}$$

Ahora tenemos n sumandos a la izquierda luego se cumple por hipótesis que los sumandos de la derecha son los mismos que los de la izquierda. Y como son solo n, el sumando n+1 y los posteriores son cero. Y al ser cero el sumando n+1 de de la derecha tenemos

a sub(n+1) = b sub(n+1)

Como los otros eran iguales por hipótesis, tenemos que hay n+1 sumandos iguales y los posteriores serían todos cero.

Y eso es todo.

Añade tu respuesta

Haz clic para o

Más respuestas relacionadas