Análisis dimensional(física)

<a></a>

que fenómeno físico representa

V:

1 Respuesta

Respuesta
1

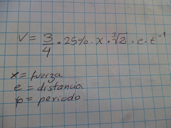
Imagino que la pregunta es calcular la ecuación dimensional de V

$$\begin{align}&V=\frac 34·25\%·x·\sqrt[3] 2et^{-1}\\ &\\ &donde\\ &x=fuerza\\ &e=distancia\\ &t= periodo\; (tiempo)\\ &\\ &\text{Las ecuaciones de dimensión son}\\ &x=ma=ms/t^2=MLT^{-2}\\ &e=L\\ &t=T\\ &\\ &\\ &V=\frac 34·\frac 14·\sqrt[3] 2·(MLT^{-2})LT^{-1}\\ &\\ &\text{la ecuación de dimensión de V es}\\ &\\ &V = ML^2T^{-3}\end{align}$$

Una fuerza por un espacio es un trabajo. Y un trabajo entre tiempo es potencia

Luego V es potencia y su medida es watios

Y eso es todo.

Añade tu respuesta

Haz clic para o

Más respuestas relacionadas