Probabilidades de inclusión
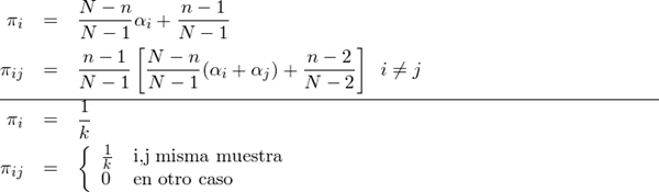
Hola! Me gustaría saber cuales son las probabilidades de inclusión de primer y segundo orden en un muestreo de Midzuno y muestreo sistemático. Muchas gracias
1 respuesta
Respuesta de Fran José García
1
