Thrasher Dany

Thrasher Dany

 México @thrasherdany desde - visto
Preguntar

Preguntas

Pregunta en y en 1 temas más

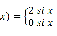
¿Es continua en x=1? Justifica tu respuesta.

Como es que se debe de resolver esta función, ¿Y cuál es la justificación de la respuesta?
Pregunta en y en 1 temas más

Determinar el límite de la siguiente función como se resuelve la siguiente sobre continuidad

Cual es la solución a la función que se muestra en la imagen
Pregunta en y en 1 temas más

Continuidad. Muestre que la función f(x) = {1 si x 0es discontinua en todos los reales.

Muestre que la función f(x) = {1 si x< 0, −1 si x > 0 es discontinua en todos los reales.

Suscríbete RSS