Pregunta en
Contabilidad
¿Identificar a que cuenta debe ir el cargo y el abono?
¿Quería ver si me podrían auxiliar con el siguiente ejercicio? Son oraciones que tienen que ver con el cargo y abono, debo de identificar que cuenta va en el cargo y en el abono, tomando en cuenta el Activo circulante. A continuación anexo las...
Sin respuestas
Pregunta en
Costos
y en 1 temas más
¿Precio de venta unitario por habitación de noche?
Necesito de su ayuda para resolver la siguiente operación. El gerente de un hotel en la provincia desea saber cuál debe ser el total de las ventas que necesita realizar en el sexto mes del año en ejercicio para poder subsanar los costos totales del...
Sin respuestas
Pregunta en
Matemáticas
y en 1 temas más
¿Cuál es la función que representa la velocidad de compra?
Pregunta en
Matemáticas
y en 1 temas más
¿Cómo determinar costos de almacenaje de la siguiente función?
Pregunta en
Matemáticas
y en 1 temas más
¿Cómo determinar los ingresos totales de la siguiente función?
Pregunta en
Matemáticas
y en 1 temas más
¿Cómo determinar el costo promedio máximo y su rentabilidad con la siguiente función?
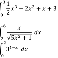
Pregunta en
Matemáticas
y en 1 temas más
¿Cuál es el procedimiento para resolver estas tres integrales?
Pregunta en
Matemáticas
¿Análisis marginal y derivadas de las siguientes actividades?
Pregunta en
Matemáticas
