Buscar
Descubre en Todoexpertos
Temas interesantes
Preguntas
Respuestas
Expertos
Logros
Iniciar sesión
Entrar
Crear cuenta
Compartir
Compartir perfil de usuario
Todoexpertos
Facebook
Twitter
Google+
Bloquear
Desbloquear
Marcar como inadecuado
strikar simen
Colombia
@strikarsimen
desde
2021
- visto
2021
Preguntar
Seguir
Siguiendo
Dejar de recibir notificaciones
Recibir notificaciones
Dejar de seguir
Resumen
Preguntas
Respuestas
Temas
Reputación
Siguiendo
Preguntas
Pregunta en
Física
el 13 sep. 21
Como resolver este ejercicio de momento?
Determine el momento de la fuerza con respecto al punto O como función de . ¿Para qué valor de en el rango entre 0° y 180° el momento es máximo? ¿Cuál es el valor del momento en este caso?
1 respuesta
Responder
Pregunta en
Cálculo
y en 1 temas más
el 13 abr. 21
Como se puede resolver esta ∫ indefinida ?
¿Cómo se puede resolver de forma ingeniosa este problema?...
Sin respuestas
Responder
Pregunta en
Cálculo
y en 1 temas más
el 10 abr. 21
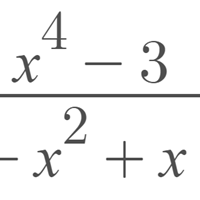
Como resolver la Integral de x^4-3/x^3-x^2+x-5 dx ?
1 respuesta
Responder
Temas
Física
Suscríbete
RSS