Pregunta en
Matemáticas
Ejercicio de calculo integral, sólidos de revolución, hallar el solido generado por la rotación de la
Region acotada entre y=√x y las rectas y=1 , x=4 sobre la recta y=1 si mal no entiendo el area que se calculara sera entre las curvay=√x y la recta y=1 y x=4 y este segmento gira en y=1 ? ¿Cómo lo planteo como se resuelve?
Sin respuestas
Pregunta en
Matemáticas
Ejercicio: encontrar las matrices de transformación y el núcleo de dicha transformación.
Pregunta en
Matemáticas
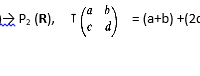
Clasificación de transformaciones lineales, tengo esta otra transformación.
Como se le clasifica a esta transformacion
Pregunta en
Matemáticas
Como se Clasifica la siguientes transformacion en lineal o no lineal.
Como lo justifico o como me doy cuenta que es lineal o no lineal
Pregunta en
Matemáticas
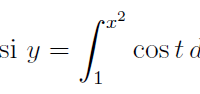
Tengo este problema de calculo, como lo puedo resolver encuentre dy/dx si:
Pregunta en
Matemáticas
Que significa cada proceso y explica a qué se refieren cada proceso
Sin respuestas
Pregunta en
Matemáticas
En la siguiente elabora la tabla, Explica en tus propias palabras los procesos y
Sin respuestas
Pregunta en
Matemáticas
Da dos bases diferentes para los polinomios de grado 2, y para las matrices de 2x2
. Demuestra que son bases para los espacios correspondientes.
Pregunta en
Matemáticas
Dí si las siguientes afirmaciones son verdaderas o falsas. Justifica tu respuesta.
Un espacio vectorial no puede tener más de una base. Todo espacio vectorial tiene una base finita.
Pregunta en
Matemáticas
Un punto tiene coordenadas (√3,2) después de una rotación de ejes de π/6 Verifica que
La longitud del punto (1, 2) se mantiene después de la rotación hecha
Sin respuestas
