Pregunta en
Matemáticas
y en 1 temas más
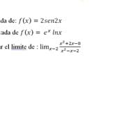
Hallar la tercera derivada de orden superior
Ejercicios de orden superior, Hallar paso a paso la tercera derivada de: f(x)=2sen2x
Pregunta en
Matemáticas
y en 1 temas más
Análisis de las derivadas y sus aplicaciones, derivadas de orden superior Hallar la tercera derivada
Pregunta en
Matemáticas
y en 2 temas más
Ejercicios Derivadas de orden superior , Derivadas de orden superior

Sin respuestas
Pregunta en
Matemáticas
y en 1 temas más
Análisis de las derivadas y sus aplicaciones , resolver ejercicios Derivadas de orden superior
Derivadas de orden superior, Hallar la tercera derivada de f(x)=2sen2x
Pregunta en
Importación y exportación
y en 3 temas más
Comercio internacional Reconocimiento de las técnicas y modelos paragestionar procesos de exportación.
2. Reconocimiento de las técnicas y modelos para gestionar procesos de exportación. 3. Analizar el proceso de negociación mecanismo que para generar responsabilidad con el medio ambiente e impacto social en su entorno. 4. Conocimiento y comparación...
Pregunta en
Matemáticas
y en 3 temas más
Resolver ejercicios del tema Análisis de las derivadas y sus aplicaciones.
Pregunta en
Matemáticas
y en 1 temas más
Hallar la ecuación de la recta tangente a la curva
Pregunta en
Matemáticas
y en 1 temas más
Ejercicios de Análisis de las derivadas y sus aplicaciones Hallar la ecuación de la recta tangente a la curva:
Hallar la ecuación de la recta tangente a la curva:Hallar la ecuación de la recta tangente a la curva: y=x^2-2x-3 para x=1
Pregunta en
Matemáticas
y en 3 temas más
Realizar paso a paso la siguiente función de calculo
Realizar ejercicio de calculo diferencial paso a paso la siguiente La función de asignada para resolver es:
Pregunta en
Matemáticas
y en 2 temas más
Halla el valor de b ejercicios de funciones continuas
Hallar el valor de b que hace que las siguientes funciones sean continuas. 〖f(x)=〗_(fx=x^2+bx-1 si x >3)^(2bx+3 si x ≤3 )