Jhonn Vargas

Jhonn Vargas

Me sigues te sigo, No soy de rutinas, lo que se de
 1.675 puntos  Ciudad de México, México @rccaballero desde - visto
Preguntar

Preguntas en Matemáticas

Pregunta en y en 2 temas más

Duda con problema de muestreo estratificado

Ejemplo 2. En la tabla siguiente la información correspondiente al gasto a la proporción de familias que pose por lo menos un carro de una muestra aleatoria estratificada simple de 120 familias en una cuidad geográficamente dividida en tres estratos:...
Sin respuestas
Pregunta en y en 2 temas más

Dudas con problemas de predicados y calculo de predicados

Predicados y Cálculo de predicados. 1. Transforme las siguientes oraciones a lenguaje formal. Tenga en cuenta este ejemplo: María ayuda a los que no se ayudan a sí mismos. Pasar a lenguaje formal: ∀x(¬A(x, x) →A(m, x)) Existe un médico que atiende a...
Sin respuestas
Pregunta en y en 1 temas más

Dudas con problema regla de inferencia

Debo demostrar este problema de lógica, relacionado con las reglas de inferencia. Espero su ayuda 1. (p^q) —> ~r 2. [r v (s^t)] 3. (P <—> q) c. P —> S
Sin respuestas
Pregunta en y en 4 temas más

Duda con problema de muestreo aleatorio simple cesar perez

Este Problema es del libro Muestreo estadistico de Cesar perez, agradezco su ayuda Supongamos que tenemos una población de N = 3 unidades primarias de la que se obtienen todas las muestras posibles de tamaño n = 2 con probabilidades iguales y bajo...
Sin respuestas
Pregunta en y en 3 temas más

Duda con problema de Muestreo Aleatorio Simple

En el siguiente problema nos piden verificar las propiedades de los estimadores sin embargo llego al punto de confundirme agradezco la ayuda prestada.
Sin respuestas
Pregunta en y en 3 temas más

Duda con problema de distribución uniforme

Tengo una duda con este problema de estadística. Tengo los siguientes datos Sin embargo no logro determinar la diferencia para ver que dicho intervalo no sea vacío.
Sin respuestas
Pregunta en y en 3 temas más

Tengo una duda con este problema de física de campos y ondas

E Ste problema es sacado del libro de problemas de propagación de ondas entonces no comprendo por donde debo partir,.
Sin respuestas
Pregunta en y en 2 temas más

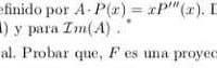
Duda con problema de álgebra lineal

Tengo dificultades con estos problemas de álgebra lineal son algo complicados no logro entenderlos Pueden colaborarme con el 3 y 4
Sin respuestas
Pregunta en y en 3 temas más

Tengo una duda sobre el sup y el inf de una Función

Como puedo hallar las cotas superiores e inferiores del siguiente problema sea s={x ∈ R : (x-a)(x-b)(x-c)(x-d)<0}; a<b<c<d Hallar el Sup (s) y el Inf (s)
Sin respuestas
Pregunta en y en 1 temas más

Como se puede resolver esta cuestión de logica

Identificar, clasificar y explicar las diversas falacias de lenguaje contenidas en las siguientes expresiones y el tipo de razonamiento que se utiliza. El proyecto de construcción hidráulica que tiene usted delante, señor Alcalde, necesita de un...
Sin respuestas