Jhonn Vargas

Jhonn Vargas

Me sigues te sigo, No soy de rutinas, lo que se de
 1.675 puntos  Ciudad de México, México @rccaballero desde - visto
Preguntar

Preguntas y respuestas en Cálculo

Pregunta en y en 2 temas más

Dudas con problemas de predicados y calculo de predicados

Predicados y Cálculo de predicados. 1. Transforme las siguientes oraciones a lenguaje formal. Tenga en cuenta este ejemplo: María ayuda a los que no se ayudan a sí mismos. Pasar a lenguaje formal: ∀x(¬A(x, x) →A(m, x)) Existe un médico que atiende a...
Sin respuestas
Pregunta en y en 3 temas más

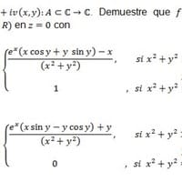
Debo demostrar que se cumplen las ecuaciones cauchy-riemann

Encontré las derivadas parciales de esta función de dos variables pero veo que no cumplen las ecuaciones de cauchy riemann como puedo ver en z=0 agradecería mucho su respuesta.
Pregunta en y en 4 temas más

Tengo una duda con una ecuación de 4 incógnitas

¿Cómo podría resolver un sistema de ecuaciones de 4 incógnitas? 1) a u + 3 b v= 1 2) b u + a v = 0 Esas son las respuestas en función de otra
Pregunta en y en 3 temas más

Tengo una duda sobre el sup y el inf de una Función

Como puedo hallar las cotas superiores e inferiores del siguiente problema sea s={x ∈ R : (x-a)(x-b)(x-c)(x-d)<0}; a<b<c<d Hallar el Sup (s) y el Inf (s)
Sin respuestas
Pregunta en y en 3 temas más

Como puedo demostrar un problema de calculo

Tengo dudas de como podría hacer estas demostraciones pues no tengo los conocimientos .
Pregunta en y en 3 temas más

¿Como puedo resolver este problema de calculo y derivada?

Como podría demostrar rigurosamente que f es diferenciable y encontrar la derivada agradezco su respuesta.
Pregunta en y en 2 temas más

Tengo una duda con este problema de calculo

Hallar el valor de la suma ¿Cómo podría resolver este problema?
Respuesta en y en 3 temas más a

Problema de física teórica básica

La velocidad alos 3 sg, es -9.8*3= -29.4 la distancia a los 3s, 0,5*9.8*9= 44.1 metros y a los 4s , 0.5*9.8*16= 78,4 pero le resto los 3 de antes 78.4 -44.1= 34.3 metros en el siguiente segundo.
Pregunta en y en 4 temas más

Duda sobre equivalentes a radianes según ángulos

El problema es acerca de algunos ángulos que hay que expresar en radianes de que manera se puede realizar si hay unos valores iguales. Hay valores iguales como 15 y 15 no se si se suman o que se puede hacer
Pregunta en y en 3 temas más

Tengo una inquietud calculo diferencial limites

Determinar para valores de x el limite no existe. 4, si x<1 f(x)= x+4, si x=1 (x^2)+4, si x>1