Pregunta en
Matemáticas
y en 2 temas más
En una población N (θ, 5), se efectúan sobre el valor de la media dos posibles hipótesis: H0: θ = 12 y H1: θ = 15 Mediante una m
Sin respuestas
Pregunta en
Matemáticas
y en 1 temas más
Una empresa desea saber si la edad de sus clientes potenciales explicará o no la preferencia por un modelo de vehículo que proye
Sin respuestas
Pregunta en
Matemáticas
Diego Maradona considera que Capriles está dañando a Venezuela con sus ideas, cuando Maradona es simpatizante del gobierno chavi
Identificar, clasificar y explicar la clase de falacia contenida en la expresión y el tipo de razonamiento que se utiliza
Sin respuestas
Pregunta en
Matemáticas
y en 2 temas más
Planteamiento y resolución (utilizando las operaciones necesarias y la representación a través del Diagrama de Venn) de uno de l
Pregunta en
Matemáticas
y en 3 temas más
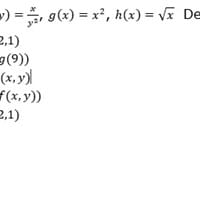
Dearrollar calculo multivariado Sean f(x,y)=x/y^2 , g(x)=x^2, h(x)=√x Determine
Pregunta en
Matemáticas
y en 4 temas más
Se deberá encontrar el modelo matemático en el dominio del tiempo y analizar la controlabilidad y la observabilidad del proceso.
Buenas tardes amigos de todo expertos espero me ayuden con le desarrollo de este trabajo estoy atento
Sin respuestas
Pregunta en
Matemáticas
y en 1 temas más
Con la de la calculadora científica las siguientes operaciones:
Buenas noche solicito me ayden co este item el el tema operación y notación científica, se puede usar calculadora científica
Sin respuestas
Pregunta en
Física
y en 1 temas más
3. Transforme las siguientes cantidades a las correspondientes notaciones:
Pregunta en
Matemáticas
y en 2 temas más
