maria urdaneta

maria urdaneta

soy una persona muy estudiosa, abogado pero me gustan mucho las matematicas
 Venezuela @mariaurdaneta desde - visto
Preguntar

Preguntas

Pregunta en

Calcular el siguiente limite trigonométrico en:

Lim cuando tita tiende a cero de seno de tita/tangente de tita
Pregunta en

Estudiar por la derecha y por la izquierda los siguientes limites

Lim cuando por tiende a -3pi/2 de sen(x)/cos(x) y lim cuando x tiende pi/2 de sen(x)/cos (x)
Pregunta en

¿ Es posible definir f o g ? En composición de funciones

Dadas las funciones f(x)=raiz cuadrada de x -2/3 este ultimo valor esta afuera de la cantidad subradical y g(x)=1/(x-2/3)-1 esta parte del denominador esta elevado al cuadrado, es decir ( x-2/3) y el -1 esta en el numerador ,lo veo muy dificil,...
Pregunta en

Cual sera la funcion inversa en ?

Y=ln x y en y=5·2x, no se si puedo hacer dos preguntas a la vez
Pregunta en

¿Cual sera la funcion inversa en?

La pregunta a la que me refiero tiene que ver con la siguiente funcion: y=ln(3x-1), por favor profesor necesito esta repuesta, feliz dia
Pregunta en

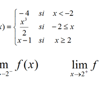
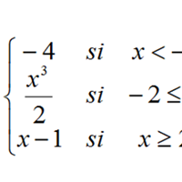
Hallar en el siguiente limite las siguientes condiciones

Limit cuando x tiend a 2, mas abajo limit cuando x tiende a -2 si f(x)= abrimos una llave -4 si x<-2,siguiente linea x al cubo/2 si -2 menor o igual x<2 y por ultimo en la siguiente linea x-1 si x>o igual 2, profesor ayúdeme con esta si puede hoy. Un...
Pregunta en

Limites finitos en un punto

También tengo este limite cuando por tiende a -2 de 1/x-1+1 y esto a su vez sobre x+2, este sólito me falta, esta tarea es para mañana miecoles hora venezolana a las siete
Pregunta en

Limites laterales, tanto por la derecha como por la izquierda

Limite cuando por tiende a 2 derecha, limite cuando por tiende a -2 izquierda hallar, abrimos una llave y luego colocamos dentro de la llave -4 si x<-2, en la siguiente linea x al cubo/2 si -2 menor o igual a x < 2 y x-1 si x mayor o igual a 2,...
Pregunta en

Limites finitos en un punto

Profesor necesito calcular algunos limites finitos, pero se me dificultan dos ejercicios :limite cuando h tiende a dos de h-2/h al cuadrado -4, este seria el primer limite luego le envío el siguiente
Pregunta en

¿Cómo hallar el dominio de la función? En:

H(x)=arcosen(2x/1-x), profesor ya sabe como es que se la estoy peguntando