Hogla Herrera Bernardo

Hogla Herrera Bernardo

 México @maestrabuena desde - visto
Preguntar

Preguntas

Pregunta en

Composición de funciones.

¿Alguien me puede por favor ayudar a resolver esta combinación de funciones? Dada f(x)= sen x, y g(x)= pi x, evaluar: a) f(g(1/2)), b) g(f(pi/4)) Muchas gracias!
Pregunta en

Combinación o composición de funciones.

Alguien me puede por favor ayudar a resolver esta composición de funciones? Dada f(x)= sen x, y g(x)= p x, evaluar: a) f(g(1/2)), b) g(f(p/4)) Muchas gracias!
Sin respuestas
Pregunta en

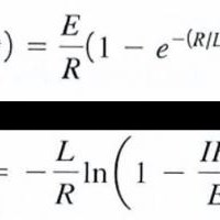
Despejar t utilizando las propiedades de los logaritmos.

En un circuito sencillo en serie, formado por un voltaje constante E, una inductancia de L henries y una resistencia de R ohms, se puede demostrar que la corriente I(t) es: I(t) = E/R (1 - e^-(R/L)t). Despeje t en función de los otros símbolos. Nota:...
Pregunta en

Despejar la variable t utilizando las propiedades de los logaritmos.

En un circuito sencillo en serie, formado por un voltaje constante E, una inductancia de L henries y una resistencia de R ohms, se puede demostrar que la corriente I(t) es: I(t) = E/R (1 - e^-(R/L)t). Despeje t en función de los otros símbolos. Nota:...
Pregunta en y en 1 temas más

Resuelve el problema dado, usando derivadas o integrales.

Sea p = (10-3x)^2 para x menor o igual entre 0 y 3 el precio el cual se venderán x cientos de unidades de cierto artículo, y sea R(x)=xp(x) el ingreso obtenido de la venta de las x unidades. A) Encuentre el ingreso marginal R´(x), b) Dibuje las...
Pregunta en

Resuelve el problema dado, usando derivadas o integrales.

Sea p = (10-3x)^2 para el precio el cual se venderán x cientos de unidades de cierto artículo, y sea R(x)=xp(x) el ingreso obtenido de la venta de las x unidades. A) Encuentre el ingreso marginal R´(x), b) Dibuje las curvas de ingreso y de ingreso...
Sin respuestas
Pregunta en

Resuelve el problema dado, usando derivadas o integrales.

Sea p = (10-3x)^2 para 0<X<3 el precio el cual se venderán x cientos de unidades de cierto artículo, y sea R(x)=xp(x) el ingreso obtenido de la venta de las x unidades. A) Encuentre el ingreso marginal R´(x), b) Dibuje las curvas de ingreso y de...
Sin respuestas
Pregunta en

Resuelva el problema dado, usando derivas o integrales

Sea p = (10-3x)^2 para el precio el cual se venderán x cientos de unidades de cierto artículo, y sea R(x)=xp(x) el ingreso obtenido de la venta de las x unidades. A) Encuentre el ingreso marginal R´(x), b) Dibuje las curvas de ingreso y de ingreso...
Sin respuestas
Pregunta en

Resuelva el problema dado, usando derivadas o integrales

Sea p = (10-3x)^2 para 0= x =3 el precio el cual se venderán x cientos de unidades de cierto artículo, y sea R(x)=xp(x) el ingreso obtenido de la venta de las x unidades. A) Encuentre el ingreso marginal R´(x), b) Dibuje las curvas de ingreso y de...
Sin respuestas

1 preguntas no visibles

Suscríbete RSS