Actividad pública reciente
Ha valorado "Excelente" la respuesta
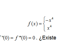
Como hallar el valor de una derivada
Ha valorado "Excelente" la respuesta
Como resuelvo una función de derivada
Voto positivo a la respuesta
Como puedo obtener un número en formato porcentual, con 5 decimales, con un número que he introducido en un textbox tal como 5.5
· Para ponerlo por ejemplo en la celda A1 [A1]=Val(TextBox1) [A1].NumberFormat = "0.00000%" · Pero lo más importante es que tengas claro lo que haces. Si usas esta orden, no estás metiendo 5.5 en la celda A1, lo que estás metiendo realmente es 0.055...
Ha empezado a seguir a
