Pregunta en
Matemáticas
y en 2 temas más
Sea la función ?(?)=?(?+?)−?(?), aproximar mediante el Método de Newton-Raphson la raíz f(x) = 0
Pregunta en
Matemáticas
y en 2 temas más
Usando el Método de la Regla Falsa aproximar la raíz de
Pregunta en
Matemáticas
y en 2 temas más
Hallar el valor medio de la función f(x)=x√(x^2+16) en el intervalo [0, 3].
_____________________________________________________________________________________________
Pregunta en
Matemáticas
y en 2 temas más
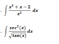
El conjunto de todas las antiderivadas de f(x) se llama integral indefinida de f respecto a x, y se denota por
El símbolo Resolver las siguientes integrales indefinidas:
Pregunta en
Matemáticas
y en 2 temas más
Demostrar que f(x) = x^3 + 4x^2 – 10 tiene una raíz en [1, 2]
Y utilizando el Método de bisección determine una aproximación a la raíz con una precisión de al menos 10^-4
Pregunta en
Matemáticas
y en 2 temas más
Resolver la siguiente ecuación diferencial hallandoel factor integrante
---------------------------------------------------------------------------------
Pregunta en
Matemáticas
y en 2 temas más
Introducción a las ecuaciones diferencialesIndique el orden de la ecuacióndiferencial y establezca si laecuación es
Lineal o no lineal, justifique su respuesta__________________________________
