Jose Otero

Jose Otero

aqui pasando el tiempo
 México @joseotero2 desde - visto
Preguntar

Respuestas en Matemáticas

Respuesta en y en 1 temas más a

Se tiene un SLTI dado por la siguiente ecuación diferencial y´´ 6y´ 9y= e 3x/x2

Logre sacar la respuesta. Para que no quede sin datos. ?−3? ?(?)=------- ?2 ?′′ +6?′ +9? (?2 +6?+9) ?2 +6?+9 (?+3)(?+3) ?ℎ =?1?−3? +?2??−3? ?? =?1(?)?−3? +?2(?)??−3? ?? =?1(?)?⏟−3? +?2(?)?⏟? − 3? ?1 ?2...
Respuesta en y en 1 temas más a

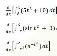
Utilizando la PRIMERA parte del Teorema fundamental del cálculo (TFC), calcular lo siguiente

Entiendo que el primer resultado tiene que ser 5x^3 + 10 y que del segundo el resultado seria - sin -x^2 + 3 pero en la tercera me queda la duda si al ser el exponencial negativo se convertiría en positivo quedando -e^x^5 o quedaría -e^-x^5 en negativo.