Pregunta en
Física
Indicar amplitud y frecuencia de las señales que se muestran a continuación.
Pregunta en
Física
"Factor de Conversión" El radio de una bobina...
El radio de una bobina que tiene 200 espiras de alambre en el aire por el cual circula una corriente de 5 A y se produce una inducción magnética en su centro de 8 x 10-3, es de 7.8 cm. Expresar la corriente en miliAmperes (mA) y el radio en metros (m).
Pregunta en
Física
Se desea expresar la presión en N y los volúmenes en m cúbicos.
El trabajo realizado al comprimir un gas que está a una presión de 2.5 atmósferas desde un volumen inicial de 800 cm cúbicos a un volumen final de 500 cm cúbicos es de -75.9 J, se desea expresar la presión en N y los volúmenes en m cúbicos.
Pregunta en
Matemáticas
Caso práctico donde se apliquen las integrales en el cálculo de áreas y volúmenes de espacios físicos.
Ayuda con un ejemplo en donde aplique las integrales
Sin respuestas
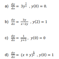
Pregunta en
Matemáticas
Necesito calcular las siguiente derivada.
Pregunta en
Matemáticas
Ayuda para resolver una derivada
Necesito resolver esta derivada. B) d/dx [sen(x+4/x^2-9)]
Sin respuestas
Pregunta en
Matemáticas
y en 1 temas más
Calcular las siguientes derivadas
Espero no haber roto alguna regla al subir tres problemas, pero tengo dudas en estas tres específicamente.
