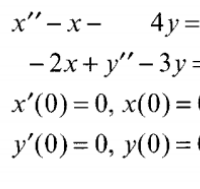
Pregunta en
Matemáticas
y en 1 temas más
¿Como resolver este ejercicio del sistema de ecuaciones diferenciales con transformada de Laplace?
Sin respuestas
Pregunta en
Matemáticas
y en 3 temas más
¿Cómo podrías verificar tus probabilidades?
Considera el experimento de colocar una chincheta en un vaso y lanzarlo sobre una mesa. Aplicando el enfoque subjetivo, ¿Podrías asignar una probabilidad al suceso “la chincheta cae apuntando hacia arriba” y una probabilidad al suceso “la chincheta...
Pregunta en
Matemáticas
y en 3 temas más
Inventa un suceso para cada tipo
1. Inventa un suceso de cada tipo. A) Muy probable o casi seguro b) medianamente probable c) poco probable d) casi imposible
Pregunta en
Matemáticas
y en 3 temas más
Como resuelvo estos ejercicios de probabilidad
A) En fútbol soccer profesional, ¿Cuál es la probabilidad de que se anote un gol en las siguientes situaciones?: • Tiro libre____ • Tiro de esquina___ • Tiro de penalty___ • Tiro de media cancha___ b) En básketbol profesional, asigna un valor a la...
Pregunta en
Ingenieria Mecánica
y en 4 temas más
¿Como resolver este problema de mecánica? 15
Pregunta en
Ingenieria Mecánica
y en 4 temas más
¿Como resolver este problema de mecánica? 14
Pregunta en
Ingenieria Mecánica
y en 4 temas más
¿Como resolver este problema de mecánica? 13
Pregunta en
Ingenieria Mecánica
y en 4 temas más
¿Como resolver este problema de mecánica? 12
Pregunta en
Ingenieria Mecánica
y en 4 temas más
¿Como resolver este problema de mecánica? 11
Pregunta en
Ingenieria Mecánica
y en 4 temas más
¿Como solucionar este problema de Mecánica?
La figura muestra el esquema de un bloque cúbico de frigorit que está en el piso y sobre el cual se aplican tres fuerzas. A) ¿Estará el bloque en equilibrio de traslación? ¿Y de rotación? B) Si la respuesta a alguna de las preguntas anteriores fuese...