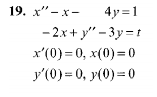
MatemáticasCálculo Roberto Diaz el 18 abr. 19 ¿Como resolver este ejercicio del sistema de ecuaciones diferenciales con transformada de Laplace? Seguir Siguiendo Dejar de seguir