YeniiFer Chiisco

YeniiFer Chiisco

 Colombia @jeniiferchiisco desde - visto
Preguntar

Preguntas

Pregunta en

¿Cuál es la velocidad con la que sale el liquido?

Se hace un orificio circular de 3 cm de diámetro en la pared lateral de un gran deposito y a una distancia de 5 metros por de bajo del nivel del agua
Pregunta en

Problemas de física con calor especifico

¿Se colocan en contacto dos bloques de cobre uno de 160 gramos a 800ºc y otro de 80 gramos a 200ºc la temperatura final del sistema es? ¿Un gas ocupa un volumen de 10 m3 a una temperatura de 300ºk si se mantiene constante la presión y la temperatura...
Pregunta en

Resolver las expresiones dadas, simplificar y dejar la respuesta con exponentes fraccionarios y positivos

A) 5 ∛81 - 7∛192 + 4∛648 B) (∛x + ∛y) (∛x^2 - ∛xy + ∛y^2 si me puedar ayudar muchas gracias no se como se hacen los exponentes fraccionarios
Pregunta en

Razones trigonométricas escoger las expresiones que sean iguales

Cuales de las siguientes expresiones es (son) iguales a sen40º + cos 50º 1) 2sen40º 2) 2cos50º 3) sen50º+cos40º
Pregunta en

Los gramos de naoh necesarios para hacer reaccionar con 2 moles de h2so4

Noh+h2so4 producen na2so4 + 2h2o cuantos gramos de naoh son necesarios
Pregunta en

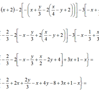
Reducción a términos semejantes del siguiente ejercicio

- {x+y/2-1/3(x+2)-2[-(x+y/3-2(x/4-y+2))]-3[-x+1/3(-1+x]} Reducción a términos semejantes por favor
Pregunta en

Hacer la operación indicada y reducir a términos semejantes

4/3 xy+ 3/5xy^2-1/4x^2y + 1/3xy^2 + 2x^2y-6xy^2-5xy Reducir a términos semejantes
Sin respuestas
Pregunta en

Cual seria la solución de este ejercicio

(2-3/2)^-2 * (2-4/3)^2 todo esto sobre 1+4/3*(2/ 2/3) Cual seria el proceso

Suscríbete RSS