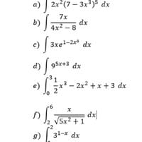
Pregunta en
Matemáticas
¿Cómo dar solución a este tipo de integrales?
Pregunta en
Matemáticas
¿Cómo determinar el costo marginal y el costo promedio de la siguiente función?
De acuerdo con los registros de costos para diferentes niveles de producción de uno de sus artículos. El costo total de fabricar unidades de dicho artículo, está dado por esta función: C(q)= q3-24q2+350q+338 Determina el costo marginal si el nivel de...
Pregunta en
Matemáticas
¿Cómo determinar la elasticidad de la demanda de esta función?
La demanda de uno de sus productos está dada por la función. Q(p)= 2000/p2 Determina la función de elasticidad precio de la demanda, e indique el tipo de elasticidad si el precio es de $5.
Pregunta en
Matemáticas
¿Cómo determinar las derivadas de las siguientes funciones?
Y=2/3 x^6-5x^(-2) y=80e^(0.05x^2 ) y=10(2x^2-1) (1-x)^2 y=x/(x^3-1) y=4ln(6x^3-7x-10) y=5^(-x^3+2x-1)
Pregunta en
Matemáticas
¿Cómo calcular los límites cuando tiende a 2 y además explicar explica si la función es continua?
Pregunta en
Matemáticas
¿Cómo determinar la elasticidad de la demanda cuando el precio es de $40. ¿La demanda es elástica o inelástica?
A partir de la función de ingreso del ejercicio anterior, se tiene que la función de demanda es . De esta última función despejando tenemos que p(q)=-1/3 q+60. Determina: La elasticidad de la demanda cuando el precio es de $40. ¿La demanda es...
Pregunta en
Matemáticas
¿Cómo determinar el cambio en los ingresos cuando la cantidad se incrementa de 30 a 70 unidades?
La función de ingreso de su producto está dado por, I(q)=-1/3 q^2+60q. Por lo tanto, Determina: El cambio en los ingresos cuando la cantidad se incrementa de 30 a 70 unidades.El cambio en los ingresos cuando la cantidad disminuye de 150 a 100...
Pregunta en
Matemáticas
¿Cómo calcular el cambio en el precio si la cantidad demandada pasa de 5 a 20 unidades?
De la función de demanda para un producto es p=100/√(q+4). Calcula lo siguiente: El cambio en el precio si la cantidad demandada pasa de 5 a 20 unidades.La tasa de cambio promedio dadas las condiciones del inciso anterior.La elasticidad precio de la...
