JAIRO GUERRERO

JAIRO GUERRERO

 650 puntos  Colombia @jairoguerrero desde - visto
Preguntar

Preguntas

Pregunta en y en 2 temas más

Ecuaciones diferenciales,¿ Que función derivable sirve como solución de la siguiente ecuación general?

En general, una ecuación diferencial de primer orden adopta la forma Luego, la solución de una ecuación diferencial de primer orden es una función derivable con derivada continua, que al ser sustituida en la ecuación la convierte en una identidad, o...
Pregunta en y en 2 temas más

Teniendo en cuenta que la función de población P = 45 e^0,02t (en millones de personas) y tomando como punto inicial el año 2000

Este es un problema de calculo, Teniendo en cuenta que la función de población P = 45 e^0,02t (en millones de personas) y tomando como punto inicial el año 2000 entonces la población para el año 2011 es de? Tengo sospecha que podría estar bordeando...
Sin respuestas
Pregunta en y en 2 temas más

Utilizando integrales responder problema de velocidad

A una altura de 16m se lanza verticalmente hacia abajo una pelota de béisbol con una velocidad inicial de 2 m/s. Si la pelota golpea una superficie que se encuentra a 4m de alto. Determinar la velocidad de impacto de la pelota.
Sin respuestas
Pregunta en y en 1 temas más

Hallar perímetro de media circunferencia

Encontrar el perímetro de media circunferencia descrita por la siguiente ecuación: ?2 + ?2 = 4. La forma paramétrica de la ecuación es: ? = 2sen(?) y ? = 2cos(?), para 0 ≤ ? ≤ ?.
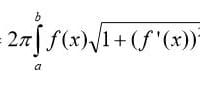
Pregunta en y en 2 temas más

Calculo integral , aplicación de las integrales

La región limitada por la gráfica de y=x³, el eje x y x=1/2 se gira alrededor del eje x. Hallar el área de la superficie lateral del sólido resultante. Tener en cuenta que: El área lateral (excluyendo los extremos) del sólido resultante es
Sin respuestas
Pregunta en y en 2 temas más

Determine la potencia desarrollada por el motor del automóvil:A. En la colina. B. En la superficie horizontal dado el ejercicio

Un móvil de 973 kg asciende una colina de 29.5 º a una velocidad constante de 40.2 km/h, después de ello, el automóvil ingresa a una superficie horizontal y alcanza a desarrollar una velocidad de 64.3 m/s en 5.70 s; si la fricción entre las llantas...
Pregunta en y en 2 temas más

Como determinar la rapidez y la fuerza media de un martillo justo antes de golpear una viga I

En la construcción de un edificio se tiene un martillo de acero con masa de 187 kg que se levanta 2.8 m sobre el tope de una viga en forma de I vertical, que se está clavando en el suelo. El martillo se suelta, metiendo la viga -I- otros 8.10 cm en...
Pregunta en y en 3 temas más

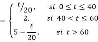
Calcular el valor promedio o promedio integral de la función dada

Esta pregunta se basa en el valor promedio o promedio integral
Pregunta en y en 2 temas más

Movimiento de una partícula a lo largo de una circunferencia,en sentido contrario al reloj con rapidez angular constante

A lo largo de una circunferencia de 8.4 cm de radio, una partícula se mueve en sentido contrario manecillas del reloj, con una rapidez angular constante de 2.9 rad/s. En un tiempo t=0.0 s, la partícula tiene una coordenada de 0.9 cm en el eje “x” y...
Pregunta en y en 2 temas más

Un objeto tiene el origen en el instante t=0 Tiene velocidad, medida en m/seg con los siguientes datos(adjunto)evaluar integral

Un objeto en el origen en el instante? = 0 tiene velocidad, medida en metros por segundo Evaluar la integral de acuerdo con las anteriores consideraciones. Este es un problema de calculo integral aplicado a la física. Donde se pretente hallar la...

Suscríbete RSS