Israel Garcia

Israel Garcia

La vida es bella, hay que vivir bien
 México @israelgarcia4 desde - visto
Preguntar

Preguntas

Pregunta en y en 1 temas más

Más ejercicios de funciones para derivar, ¿Cómo resolverlas?

Necesito derivar estas funciones, me ayudan, gracias. Son las ultimas. Gracias
Pregunta en y en 1 temas más

¿Resolver estas funciones y derivarlas ?y=(x^2 + x)^4 , y=( \frac{x - 3}{x + 2} )^{12} , y= 4(x^2 + 5) -7x

Sacar las derivadas de estos ejercicios por favor
Sin respuestas
Pregunta en y en 1 temas más

Calcular esta función... Tengo dudas, urge

Esta el la pregunta Lucas mmm, podrias ayudarme por favor...
Pregunta en y en 1 temas más

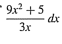
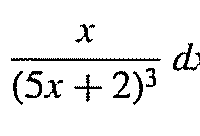
Segunda parte¿ Calcular estas integrales?

Estos son los ejercicios restantes, gracias por su tiempo y ayuda.
Pregunta en y en 1 temas más

Primera parte de ejercicios de integrales ¿ Como calcularlas?

Ayuda con al resolución de estas integrales, son 4 pero como ustedes me han dicho, se suben de 2 en 2, por lo que formulare otra pregunta con los otros 2 ejercicios que faltan.... Gracias.
Pregunta en y en 1 temas más

Maximización de beneficios, tengo dudas

Maximización de beneficios Suponiendo que la función de la demanda para un producto de naturaleza monopolística es p = 400 – 2q y la función del costo promedio es de cprom = 0.2q + 4 + (400/q) donde q es el número de unidades y tanto p como cprom...
Pregunta en y en 1 temas más

¿A qué precio se obtendría el máximo ingreso y cuantos suscriptores habría en ese nivel.

Maximización de ingresos. Atem La compañía Vista TV cable tiene actualmente 100,000 suscriptores quienes pagan alrededor de $ 40 dólares al mes. Una encuesta revela que se podrían obtener 1000 suscriptores más con cada reducción de $0.25 en el...
Sin respuestas
Pregunta en y en 1 temas más

Necesito sacar las gráficas de esta tabla

Trabajo ( trabajadores por día) Producción (cajas por día) 1 12 2 24 3 48 4 84 5 132 6 192 7 240 8 276 9 300 10 312 a) Calcula el producto promedio del trabajo y dibuja la curva correspondiente b) Calcula el producto marginal del trabajo y dibuja la...
Pregunta en y en 1 temas más

Sabiendo que el costo marginal , para la fabricación de uno de sus productos está dado por dC/dq=3q^2-60q+400

Determina la función de costo total y el monto del mismo si se fabrican 5 unidades y se considera que el costo fijo es cero (es decir, la constante de integración).
Pregunta en

La derivaba del precio respecto a la cantidad demandada de un cierto producto es : dp/dq=-100/(q+2)^2

Calcule la rapidez a la que cambia el precio cuando se venden 3 piezas.Considerando la constante de integración como cero, determina el precio al que se demandan 3 unidades.

Suscríbete RSS