Fernanda ramos

Fernanda ramos

responsabilidad mas esfuerzo igual a exito
 Santander de Quilichao, Colombia @fernandasomar desde - visto
Preguntar

Preguntas

Pregunta en y en 4 temas más

Como se desarrollan ejercicios de ejemplos vectoriales?

1. Dado el conjunto S = {U1, U2} donde U1=(5,1) Y U2= ( -3,-2).Demuestre que S genera a R2.
Sin respuestas
Pregunta en y en 3 temas más

¿Qué pruebas de laboratorio físicas,químicas se hacen a los alquenos, alquinos, aromáticos, alcoholes y fenoles?

Describir las pruebas de laboratorio de tipo físico, químico y espectroscópico que permite la identificación de Alquenos, Alquinos, Aromáticos, Alcoholes y fenoles.
Sin respuestas
Pregunta en y en 3 temas más

Como resolver problemas de aplicación según el rol de un estudiante?

Expresar los siguientes enunciados en Lenguaje natural relacionada con la dinámica de la Universidad de su rol como estudiante y demostrar la validez del argumento dado a través de:  Uso de las tablas de verdad.  Uso de las reglas de inferencia. ...
Sin respuestas
Pregunta en y en 3 temas más

Como solucionar problemas de aplicación de lógica matemática ?

Solucionar los siguientes enunciados y demostrar la validez o no validez del argumento dado a través de:  Uso de las tablas de verdad.  Uso de las reglas de inferencia.  Uso del simulador Truth Table. En la escena de un robo, la policía se...
Sin respuestas
Pregunta en y en 3 temas más

Como Aplicar las reglas de inferencia.

Definición y ejemplos ¿Distributiva, Exportación, y Contraposición?
Sin respuestas
Pregunta en y en 2 temas más

Como aplicar la teoría de conjuntos

Representar cada una de las siguientes situaciones en un diagrama de Venn y con las operaciones entre conjuntos, desde la siguiente situación: Consideremos eventos que se pueden representar por medio de un conjunto: ?={????? ?? ???...
Sin respuestas
Pregunta en y en 2 temas más

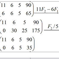
Como se resuelven problemas por el método de Gauss Jordan

En una escuela se desea lleva a cabo un torneo deportivo que abarca tres especialidades: Foot-ball, volleyball y basketball. Se cuenta con 155 alumnos, de los cuales 90 serán titulares y los restantes 65 serán reservas por haber obtenido malas...
Pregunta en y en 4 temas más

Como hallar el origen y la linea de intersección de una ecuación lineal?

Pruebe que la ecuación del plano que pasa por el origen y la línea de intersección de los planos: 3x- y 2z -4 = 0 es el plano x + 5y + 2z = 0 x + y + z -1 = 0
Pregunta en y en 2 temas más

Como representar ecuaciones lineales en el plano?

Dar la ecuación del plano que contiene a los puntos A= (1,2,1); B= (1,0,1); C= (0, 1, -1)
Pregunta en y en 2 temas más

Como se resuelven ecuaciones lineales en rectas?

Hallar las ecuaciones de la recta que pasa por el punto (2,2, -3) y es perpendicular a las rectas cuyos vectores dirección son (2, -1,3) y – (-1,2,0)
Sin respuestas