Elen Graziani

Elen Graziani

 Venezuela @elengraziani desde - visto

Preguntas

Pregunta en

Equilibrio de cuerpos rígidos ejercicio

Una fuerza P = 800 N, se aplica a una barra doblada AD apoyada como se muestra en la figura. Determine las reacciones en el cable CE y los rodillos A y D. Por favor necesito de su ayuda gracias de antemano ...
Pregunta en

Realizar los ejercicios de equilibrio cuerpos rigidos.Mecánica Estática o Aplicada

Una fuerza P = 800 N, se aplica a una barra doblada AD apoyada como se muestra en la figura. Determine las reacciones en el cable CE y los rodillos A y D.

Programación entera algoritmo de acotación y difurcacion

Resolución. MAXZ= X1+X2 S.A= 3X1+2X2<= 5 X1,X2>= O Y E entero
Sin respuestas
Pregunta en y en 1 temas más

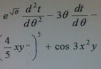
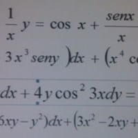
Siguientes ejercicio ecuaciones diferenciales calcular

Siguiente ecuacione diferenciale de primer orden de acuerdo al método correspondiente.
Pregunta en

Ecuaciones diferenciales Resolver las siguientes ecuaciones diferenciales de primer orden de acuerdo al método correspondiente.

Resolver las siguientes ecuaciones diferenciales de primer orden de acuerdo al método correspondiente.
Pregunta en

Resolver las ecuaciones diferenciales ejercicios

Clasifique las ecuaciones diferenciales según sus propiedades
Pregunta en y en 1 temas más

CALCULO ejercicios de Ecuaciones diferenciales

Determine si la función es solución de la ecuación diferenciales. Clasifique las ecuaciones diferenciales según sus propiedades Resolver las siguientes ecuaciones diferenciales de primer orden de acuerdo al método correspondiente.
Pregunta en

Mecánica aplicada/estática ingeniería energía interna y externa, momentos

Una fuerza P de magnitud 520 lb actúa sobre la estructura mostrada en el punto E. Determine el momento de la fuerza con respecto al eje AG
Sin respuestas
Pregunta en

Mecánica aplicada/estática , fuerza internas externas momentos

Ejercicio Nº 2: Sustituya el sistema de fuerzas representado en la figura por una fuerza y un par en el punto E.
Pregunta en

Mecánica aplicada /estática fuerza internas y externas momentos

Ejercicio Nº 1: Una fuerza P de magnitud 520 lb actúa sobre la estructura mostrada en el punto E. Determine el momento de la fuerza con respecto al eje AG. Por favor ayudenme se lo agradezco mucho..