Pregunta en
Cálculo
y en 1 temas más
Calculo integral, realizar el siguiente ejercicio de sustitución trigonométrica
Me pueden ayudar a realizar este ejercicio de sustitución trigonométrica a) 2 ∫ ----------- √5-4x^2
Pregunta en
Matemáticas
y en 1 temas más
Aplique en cada caso las propiedades para integración o el método de sustitución según corresponda
\int e^(cosz) sen z dz Me pueden ayudar a resolver estos 2 ejercicios, no se muy bien cómo se realizarlos..
Pregunta en
Matemáticas
y en 2 temas más
El tamaño de la matriz influye al determinar la igualdad de las matrices?
Me pueden ayudar con esta pregunta ¿El tamaño de la matriz influye al determinar la igualdad de las matrices?
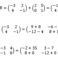
Pregunta en
Álgebra
y en 2 temas más
Dadas las matrices , calcula en cada caso
Pregunta en
Matemáticas
y en 1 temas más
Usando la definición de valor absoluto, elvalor de la integral es
Pregunta en
Matemáticas
y en 1 temas más
Al derretirse una bola de nieve, con unradio inicial de 12 cm, su radio decrece aúna razón constante de 0.5 cm/h.
Pregunta en
Matemáticas
y en 1 temas más
Encuentre las coordenadas rectangulares y cilíndricas del punto p dado en coordenadas esféricas
El ejercicio es el siguiente: Encuentre las coordenadas rectangulares y cilíndricas del punto p dado en coordenadas esféricas c)
Pregunta en
Matemáticas
y en 1 temas más
Obtener ecuaciones cartesianas e identificar que tipo de cónica representa si es posible
Me pueden ayudar con este ejercicio es el siguiente: Obtener ecuaciones cartesianas e identificar qué tipo de cónica representa si es posible b) r=(4/((cosθ+1))
Pregunta en
Matemáticas
y en 1 temas más
Encuentre las coordenadas rectangulares y cilíndricas del punto p dado en coordenadas esféricas
El ejercicio es el siguiente: Encuentre las coordenadas rectangulares y cilíndricas del punto p dado en coordenadas esféricas b) (6,π,/4,0)
Pregunta en
Matemáticas
y en 1 temas más
Obtener ecuaciones cartesianas e identificar que tipo de cónica representa si es posible
Me pueden ayudar con este ejercicio ; Obtener ecuaciones cartesianas e identificar que tipo de cónica representa si es posible a) r(3-2cosθ)=2 b) r=(4/((cosθ+1))
