Victor Aviles

Victor Aviles

mis áreas en las que puedo ayudar son: panadería, mecánica en general automotriz y motos de cualquier marca, y actualmente estudio una ing
 México @dannyavic desde - visto
Preguntar

Preguntas

Pregunta en

Funciones por medio de series de Taylor

Calcula los cinco primeros polinomios de Taylor de la función f(x)=e^x en el punto x=0 ¿Qué conclusión se puede obtener cuando el grado de los polinomios va aumentando? Gráfica cada uno de los polinomios
Pregunta en

Indicar si una serie es convergente o divergente

Expresar como una serie la siguiente función f(n)=2n Indicar y fundamentar si la serie es convergente o divergente
Pregunta en

Términos de los polinomios de Taylor

Obtén la representación en términos de los polinomios de Taylor para la función log (x) alrededor del punto x=1
Pregunta en

Representación en series y polinomio de Taylor

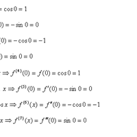
A) Considera la función cos (x) y desarrolla su representación en series y polinomio de Taylor, alrededor del punto x=0
Pregunta en

Funciones de variable real mediante series

Expresa como una serie, cada una de las siguientes funciones: a) f(x) = sen x b) f(n)=2n c) f(n)=1/n+1 Indica y fundamenta si las series son convergentes o divergentes.
Pregunta en

Cual es el volumen de una burbuja

Se libera una burbuja de 25ml del tanque de oxigeno de un buzo que se encuentra a una presión de 4 atm y a una temperatura de 11°c. Cual es el volumen de la burbuja cuando esta alcanza la supergicie del océano, ¿Dónde la presión es de 1 atm y la...
Pregunta en

El volumen final de una masa de airr

SI 20 litros de aire se colocan dentro de un recipiente a una presión de 1 atm, y se presiona el gas hasta alcanzar el valor de 2 atm. ¿Cuál sera el volumen final de la mada de aire si la temperatura se mantiene constante?
Pregunta en

Para el gas argón la constante de la ecuación

PAra el gas argon las constantantes de la ecuacion de Vander Waals son a=1.363. 1-2 atm mol-2 y b=0.03219. 1-2 mol-1. Elaborar la grafica P vs V a 50K, 75K, 100K, 150K y 200K para 2 moles de Argon en el intervalo de volumenes de 0.060 1 a 0.2 1....
Sin respuestas
Pregunta en

Que volumen ocupa un mol de gas

Determine el volumen que ocupa 1 mol de gas ideal a la temperatura de 20°c y a la presión P=101.3kPa
Pregunta en

Como se calcula el volumen a 90°

EL volumen inicial de una cierta cantidad de gas es de 200cm3 a la temperatura de 20°c. Calcula el volumen a 90°c si la presión permanece constante