Pregunta en
Matemáticas
y en 2 temas más
Resolver aplicación de ecuaciones diferenciales, ley de enfriamiento de newton
Pregunta en
Matemáticas
y en 3 temas más
Cómo resolver la siguiente aplicación a las ec. Diferenciales, vaciado de tanques
Pregunta en
Matemáticas
y en 1 temas más
¿Cómo resolver estas ecuaciones diferenciales?
Pregunta en
Matemáticas
y en 1 temas más
Cómo se resuelve la siguiente ecuación diferencial?
No se por qué método hacerla o cómo hacerla. Intenté sustituyendo u=y/x, sin embargo creo que no seguí los pasos como debía pues me da un resultado diferente al que es.
Pregunta en
Medicina
y en 2 temas más
¿Granos vaginales o pelitos encarnados? ¿Por qué?
Resulta que acabo de descubrir tres granitos en mis labios mayores. No tienen pus ni nada por el estilo, solo están rojitos e hinchados. Me duelen un poco al tocarlos. ¿A qué se debe?
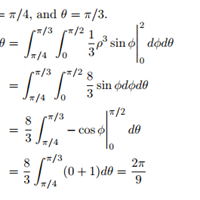
Pregunta en
Matemáticas
y en 2 temas más
Emplee una integral triple y coordenadas esféricas para determinar el volumen del sólido que está acotado por las gráficas de:
Pregunta en
Matemáticas
y en 1 temas más
Encuentre al derivada direccional de la función dada en el plano indicado en la dirección señalada
Sin respuestas
Pregunta en
Matemáticas
y en 2 temas más
Ecuaciones paramétricas para la recta tangente
Pregunta en
Matemáticas
y en 2 temas más
CALCULO II, hallar una función
Si xsen(pix) = Integral de 0 a X^2 de f(t), donde f(t) es continua. Halle f(4)
Pregunta en
Matemáticas
y en 3 temas más
CALCULO II, necesito convertir la siguiente expresión en una integral definida?
Utilice la siguiente integral definida para calcular: lim 1/n [ Raiz{1+1/n} + Raiz{1+2/n} + Raiz{1+3/n} + ... + Raiz{1+(n-1)/n} + Raiz{1+n/n} ] n->Infinito
