Pregunta en
Matemáticas
y en 2 temas más
Tengo dudas con este problema de derivada
Pregunta en
Matemáticas
y en 2 temas más
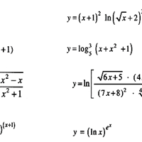
Tengo dudas con estos problemas derivadas
Pregunta en
Matemáticas
Tengo un duda con un problema de calculo
Pregunta en
Matemáticas
Tengo esta duda con este problema de calculo
Pregunta en
Matemáticas
Tengo una duda con este problema de derivadas
Un agricultor quiere construir y cercar un campo que tenga la forma de un sector circular. Si para cercarlo posee un alambre de 200m. De longitud. Calcular el radio que debe tener el sector para que el campo sea la más grande posible.
Pregunta en
Matemáticas
Tengo una duda con este problema matemática
La ganancia total (en decenas de dolares) por la venta de por libros es p(x)= (5x-2)/(2x+3) Encuentra e interprete la ganancia promedio en cada uno de los siguientes niveles de venta . A)x libros b)3 libros c)8 libros d)15 libros. Encuentre la...
Pregunta en
Matemáticas
Tengo una duda con este problema población
Se estima que dentro de t años, la población de cierta comunidad sera P(t)= 45000-(7200)/(2t+1) Evalúa e interprete la razón de cambio de población a : a) t años b) un año c)dos años d)tres años e) veinte años
Pregunta en
Matemáticas
y en 1 temas más
Tengo una duda con este problema derivadas
La ganancia total (en decenas de dolares) por la venta de por libros es p(x)= (5x-2)/(2x-3) Encuentra e interprete la ganancia promedio en cada uno de los siguientes niveles de venta . A)x libros b)3 libros c)8 libros d)15 libros
