Pregunta en
Matemáticas
y en 3 temas más
Tengo una duda sobre estos problemas de doble integración
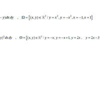
Pregunta en
Matemáticas
y en 2 temas más
Tengo una duda con estos ejercicios de integración doble
Pregunta en
Matemáticas
y en 3 temas más
Como se resuelve estos problemas de integración doble
Sin respuestas
Pregunta en
Matemáticas
y en 2 temas más
Como resuelvo estos de ejercicios de integrales dobles
Ayúdenme a resolver estos ejercicios de integrales dobles, me pide la integral de la región indicada
Sin respuestas
Pregunta en
Matemáticas
y en 1 temas más
Como resuelvo este ejercicios vectoriales
Pregunta en
Matemáticas
y en 1 temas más
Como resuelvo este ejercicio de continuidad función vectorial
Pregunta en
Matemáticas
y en 1 temas más
Como se resuelve estos ejercicios de funciones vectoriales
Pregunta en
Matemáticas
y en 2 temas más
Como resuelvo estos problemas de continuidad de una función vertical
Pregunta en
Matemáticas
y en 1 temas más
Como resuelvo este ejercicio de funciones vectoriales
Pregunta en
Matemáticas
y en 2 temas más
¿Cómo resuelvo este ejercicio de derivadas? Aplicado a la economía
Durante los treinta días consecutivos de un mes las acciones de una determinada compañía han tenido unas cotizaciones dadas por la función f(x)=0, 2x^2 -8x+100, donde x es El número de días transcurridos. Halla los días en que las respectivas...
