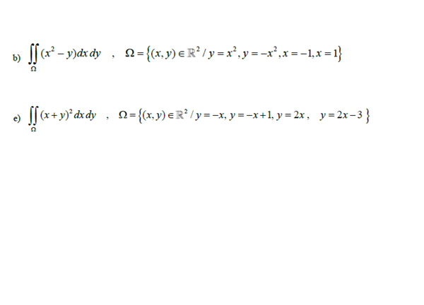
Como resuelvo estos de ejercicios de integrales dobles

Ayúdenme a resolver estos ejercicios de integrales dobles, me pide la integral de la región indicada

Ayúdenme a resolver estos ejercicios de integrales dobles, me pide la integral de la región indicada