candy maritza

candy maritza

Soy autodidacta, por eso pregunto mucho
 Colombia @candymaritza desde - visto
Preguntar

Preguntas

Pregunta en

Como hago esta demostraciòn con vectores :

Me dicen : si norma de (u+v)=norma de (u-v) = 5 entonces u*v=5 ? Verdadero o falso. Bueno yo hice la demostraciòn pero creo que està mal, por favor ayuda, muchas gracias.
Pregunta en

Hallar el volumen del paralelepìpedo con vectores:

Es que me dieron esta fòrmula ( ver imagen ), pero en internet en muchas pàginas dice que para hallar el volumen del paralelepìpedo solo es : (u*v)*w y con esa fòrmula si salen los ejercicios, en cambio con la que me dieron me queda ese resultado...
Pregunta en

Ejercicio de vectores en àlgebra lineal:

Dados los siguientes puntos: A=(3,-1,2), B=(2,5,4), C=(4,2,6), E=(6,2,1),F=(2,-1,1), encontrar (si està definido):ver la imagen. Bueno es que no se si se multiplican como los vectores, no se si toca hallar valores o vectores, por favor ayuda, muchas...
Pregunta en

La matriz identidad es ortogonal ?

¿Osea un ejemplo de matriz ortogonal puede ser la matriz identidad?
Pregunta en y en 1 temas más

Cual es el punto isoelectrico del aspartame ?

Bueno es que lo calculè y me diò 6.95 pero no se si està bien o mal.
Sin respuestas
Pregunta en

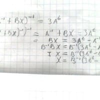
Despejar X de esta ecuaciòn matricial:

(A^-1 + BX)^-1=3A^t y me dan las matrices A Y B. Bueno yo hice el ejercicio y primero despejè X de la ecuaciòn y me quedò asì pero no se si esta bien o mal:
Pregunta en

Demostrar que este determinante es cero:

Me dicen que demuestre que este determinante es igual a 0 por las propiedades de los determinantes, pero hago esto y no se me ocurre nada mas, por favor ayuda, muchas gracias.
Pregunta en

Reducir esta matriz por gauss:

Solo necesito que quede como una triangular superior, pero llego hasta aquì, por favor ayuda, muchas gracias.
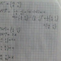
Pregunta en

Matrices: usar la informaciòn dada y las propiedades para encontar x :

1) (5x^t)^-1 = -3 -1 5 2 2) ( I + 2x )^-1 = -1 2 4 5 Hice los ejercicios, pero no se si estan bien o mal, muchas gracias.
Pregunta en

Si A y B som matrices 3x3 tal que det(2A^1)=6 y det(A^t(2B)^1)=18, entonces det(A^2B^t) =?

Bueno aqui està la imagen del enunciado(imagen de abajo), yo hice el ejercicio y me diò : det(A^2 B^t)=512/486, no se pero me parece un nùmero muy grande, no se si hice algo mal, aquì està la imagen del desarrollo del ejercicio: Muchas gracias.