Juan  Quiroga

Juan Quiroga

 Colombia @camiloromero3 desde - visto
Preguntar

Preguntas

Pregunta en y en 3 temas más

La solución general de la ecuación ?´´(?)+?(?)=0 mediante series de potencia es:

Necesito saber la respuesta correcta y realizar la explicación de la solución. Serian tan gentiles de ayudarme. Saludos ☺
Sin respuestas
Pregunta en y en 4 temas más

La ecuación del movimiento de un péndulo con longitud 1 ? Es ?2?2+10?=0: Si para ?=0 , ?=0,2 ? Y la velocidad ang

Me han planteado el siguiente problema de ecuaciones diferenciales, Ustedes serian tan amables de ayudarme con la solución y explicación del paso a paso, con el fin de entender y estudiar para el de entender y estudiar.
Pregunta en y en 3 temas más

Para el problema de valor inicial ?′′+?=4?+10sin?, ?(?)=0, ?′(?)=2, la solución particular ?

Me plantean el siguiente ejercicio, pero no entiendo muy bien. Ustedes me pueden ayudar a encontrar la Solución de la ecuación Diferencial y explicarme paso a paso el como se haya la solución. Gracias.
Sin respuestas
Pregunta en y en 3 temas más

Resolver el siguiente problema de valor inicial, solución particular y_p y la solución al problema y.

Me plantean el siguiente punto, serian tan amables de ayudarme a resolver el ejercicio y explicando el paso a paso para encontrar la solución. Les agradecería, pues seria de gran ayuda entender muy bien como se realiza el ejercicio.
Sin respuestas
Pregunta en y en 3 temas más

Un depósito contiene 500 lt de líquido en el que se disuelven 20 gr de sal: Una salmuera que contiene 5 gr/lt

Me plantean el siguiente problema, me pueden ayudar con la solución y explicación de este punto: Un depósito contiene 500 lt de líquido en el que se disuelven 20 gr de sal: Una salmuera que contiene 5 gr/lt se bombea al depósito con una intensidad de...
Pregunta en y en 3 temas más

En una cafetería se sirve una bebida caliente que se encuentra inicialmente a una temperatura de 90°

Me pantean el siguiente ejercicio de Ecuaciones. Serian tan amables de ayudarme con la solución y explicación de este, para entender el ejercicio. Les agradezco.
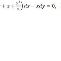
Pregunta en y en 3 temas más

Al resolver la ecuación diferencial (?+?+?2/?)?−?=0, la solución general viene dada como:

Me plantean el siguiente ejercicio. Me pueden ayudar a resolverlo. Gracias.
Pregunta en y en 3 temas más

La solución de la ecuación diferencial homogénea corresponde a:

Se me a planteado el siguiente ejercicio. ¿Me pueden ayudar? :
Pregunta en y en 3 temas más

Encuentre las ecuaciones simétricas y paramétricas de la recta que:

Me plantean el siguiente ejercicio. Serian tan amables de ayudarme Gracias.
Pregunta en y en 3 temas más

Utilice el método de eliminación de Gauss – Jordán, para encontrar todas las soluciones (si existen) de los siguientes sistemas

Me plantean los siguientes ejercicio. Me pueden ayudar.
Sin respuestas

Suscríbete RSS