Pregunta en
Matemáticas
y en 2 temas más
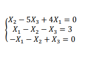
Ejercicio por el método de gauss
Pregunta en
Matemáticas
y en 2 temas más
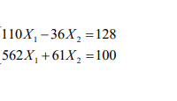
Método del pivoteo parcial creo que me equivoque en el resultado ¿Podrían corregirme y decirme si Hay algún error?
Pregunta en
Física
y en 1 temas más
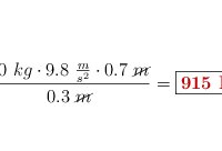
¿Hay algún error en mi ejercicio de física?
Calcular la longitud del brazo del peso para mover un peso de 25Kg aplicando una fuerza de 75Kg. El brazo de la fuerza tiene una longitud de 30cm: Respuesta:
Pregunta en
Física
y en 1 temas más
Tengo una duda ¿Podrían decirme si resolví bien mi ejercicio?
Pregunta en
Matemáticas
y en 1 temas más
¿Podrían decirme si tengo algún error en mi ejercicio?
Pregunta en
Matemáticas
y en 2 temas más
Resolver ejercicio usando el Método de la secante
Sin respuestas
Pregunta en
Visual Basic
y en 2 temas más
Crear formulario en visual basic

Sin respuestas
Pregunta en
Ingeniería Industrial
y en 4 temas más
¿Cuál es la finalidad de los números indices en el área de la ingeniería?
Podrian decirme Cuál es la finalidad de los números indices en el área laboral de la ingeniería y como se aplica en ella
Pregunta en
Matemáticas
y en 2 temas más
Tengo una duda sobre este ejercicio de ecuaciones de bernoulli
Sin respuestas