Pregunta en
Matemáticas
y en 2 temas más
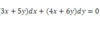
Ecuaciones homogéneas con variables separables
Pregunta en
Ciencias e Ingeniería
y en 1 temas más
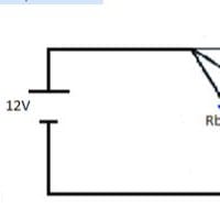
Segunda parte. Como realizo este circuito en norton
Pregunta en
Ciencias e Ingeniería
y en 1 temas más
Estoy estudiando teorema de Thévenin
Pregunta en
Física
y en 1 temas más
Tengo problemas para entender Thévenin-Norton, Norton-Thévenin:
Estos si de plano no les entendí, normalmente verifico mis respuestas con las que me proporcionan pero esto necesito que me expliquen con peras y manzanas Se supone que aplicare a la imagen; Aplicación de los teoremas de Thévenin: Voltaje de...
Sin respuestas
Pregunta en
Ingeniería Electrónica
y en 1 temas más
Circuito de tipo del-estre con V
Pregunta en
Física
y en 1 temas más
Equivalencia de circuitos Delta – Estrella
Pregunta en
Ingeniería Electrónica
y en 2 temas más
Análisis Básicos de los circuitos Alimentados por CD
Pregunta en
Matemáticas
y en 2 temas más
Comprobacion de integrales impropias (convergente y divergente)
Pregunta en
Cálculo
y en 2 temas más
Duda con mi respuesta de integración de área. ¿Qué estoy haciendo mal?
Pregunta en
Matemáticas
y en 2 temas más
