A. Vivancos

A. Vivancos

Ingeniero en telecomunicaciones. Me encanta la tecnología y su mundo
 36,2K puntos  Murcia, España @borekon desde - visto
Preguntar

Preguntas

Pregunta en

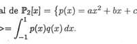
Base ortonormal asociada a producto escalar

Hola, por más vueltas que le doy no sé como realizar este ejercicio Sin embrago, si me lo piden sobre vectores sí que sé hacerlo (método Grand-Schmidt). Espero me podáis ayudar. Gracias de antemano.
Pregunta en

Powerpoint en Windows Server 2003

Hola, tengo un servidor dando servicios a 4 ordenadores. El servidor esta conectado a una pantalla, por la que quiero mostrar unas presentaciones en PowerPoint. Si pongo el programador de tareas para que se abra la presentación, en la pantalla no...

1 preguntas no visibles