Preguntas esperando respuesta
Actividad pública reciente
                    Voto positivo a la respuesta
                
                
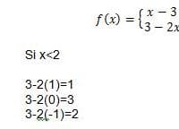
            Duda sobre este ejercicio de concepto de funciones continuas y discontinuas en función a su aplicación.
                    Voto positivo a la respuesta
                
                
            ¿Pueden mostrarme el análisis del concepto de funciones continuas y discontinuas en función a su aplicación?
                    Ha empezado a seguir a 
                
                
            
                    Ha empezado a seguir a 
                
                
            
                    Ha empezado a seguir a 
                
                
            
                    Ha empezado a seguir a 
                
                
            
                    Ha empezado a seguir a 
                
                
            
                    Ha empezado a seguir el tema Matemáticas
                
                
            
                    Ha preguntado en el tema   en 
    Matemáticas
                
                
             Cómo determinar el valor del límite de la función de utilidad cuando el número de artículos vendidos tiende a cero.
            Con la siguiente empresa La Chocolatera, SA. De CV. Se ha determinado que sus costos fijos mensuales son de $97,500 y que sus costos de venta por cada empaque de tres chocolates es de $25, así mismo se calculó la demanda de chocolates por mes, que...
        
    
        
                Sin respuestas
    
            
        Experiencia
Estudiante de Contabilidad
Educación
-         ITCGLic. en Contador Público

 
                 
                



