AaronDaniel CarrilloTorrez

AaronDaniel CarrilloTorrez

 350 puntos  Nicaragua @aarondanielcarrillotorrez desde - visto
Preguntar

Preguntas

Pregunta en

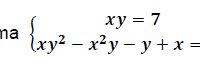
¿Como se saca la solución al sistema Matemático?

Cual debería de ser los procedimientos a seguir para resolver un sistema matemático.. Gracias por su ayuda..
Pregunta en

¿Cual seria el procedimiento de este problema?

Cual seria los procedimientos a seguir para encontrar cuanto mide el trozo de mayor longitud
Pregunta en

¿ Alguien sabe como resolver este ejercicio?

Lo que sucede es que No logro saber cual es el procedimiento para llevar a cabo este tipo de ejercicio
Pregunta en

¿Cuál es la fórmula para este problema?

En un acuario hay 200 peces, el 25% de ellos son azules y el resto rojos. ¿Cuántos peces rojos hay que sacar, para que los azules representen el 40 % de todos los peces que quedan en el acuario?

Suscríbete RSS