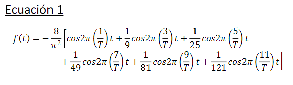
MatemáticasCálculoProfesores Ayşe Öztürk el 21 nov. 22 Graficar la siguiente ecuación 1 en Geogebra Tarea 3Graficar en Geogebra la ecuación 1:Ecuación 1: Graficar esta ecuación en Geogebra Seguir Siguiendo Dejar de seguir