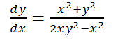
De acuerdo al texto soluciona las siguientes Ecuaciones diferenciales empleando el método de exactas

Buenos dias.
Me podrian colaborar con la solucion de la la ecuacion propuesta
De acuerdo al texto anterior soluciona las siguientes Ecuaciones diferenciales empleando el método de exactas, debe indicar la razón o argumento de cada paso en el procedimiento efectuado