La ecuación diferencial que modela un circuito eléctrico RLC dispuesto en serie esL di/dt+Ri+1/c ∫_0^t▒〖i(τ)dτ=E(t)〗
Me dice mi profesor que tengo un error
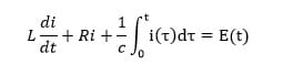
La ecuación diferencial que modela un circuito eléctrico RLC dispuesto en serie es:

L di/dt+Ri+1/c ∫_0^t▒〖i(τ)dτ=E(t)〗
Utilizando la transformada de Laplace encuentre si ; ; c=0.02 F y e
Solución

1 Respuesta
Respuesta de Alejandro Salazar
1
