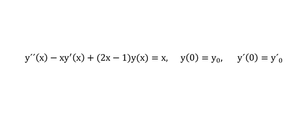
MatemáticasCálculoProfesoresCiencias e IngenieríaEcuaciones diferenciales David Torres el 16 nov. 18 Como se hallan los 5 primeros términos de esta ecuación diferencial. Obtenga los primeros 5 términos de la solución particular de la ecuación diferencial Seguir Siguiendo Dejar de seguir