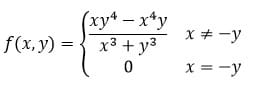
Sea la función. Hallar fx (0,0) y fy (0,0)
Función de varias variables
Sea la función

a. Hallar
$$\begin{align}&f_x (0,0) y f_y (0,0)\end{align}$$b. Calcule
$$\begin{align}&f_x (x,y) y f_y (x,y)\end{align}$$c. Es
$$\begin{align}&f_(xy) (0,0)=f_(yx) (0,0)\end{align}$$