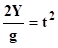
Necesito despejar esto. Para evaluación y no recuerdo Y= gt²/2 despejar T
Necesito despejar la siguiente ecuación.
1 Respuesta
Respuesta de Luis Alberto Candio Salcedo
1

