Hallar el centroide de la región limitada por las siguientes gráficas?
Hallar el centroide de la región limitada por las gráficas de

entre x = 0 y x = 4.
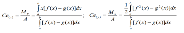
Considerar las fórmulas del centroide de la región en el plano:

¿Hallar el centroide de la región limitada por las gráficas anteriores y como aplicamos la integral para hallar el volumen de un solido?