Hallarel área de superficie del sólido resultante.
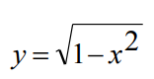
La curva
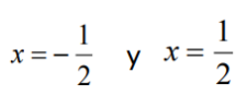
entre

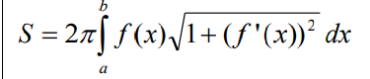
Se hace girar alrededor del eje x. Hallar el área de superficie del sólido resultante. Tener en cuenta que: El área lateral (excluyendo los extremos) del sólido resultante es:

La curva
entre

Se hace girar alrededor del eje x. Hallar el área de superficie del sólido resultante. Tener en cuenta que: El área lateral (excluyendo los extremos) del sólido resultante es:
